Докажите , что значение выражения ( 2 корень из 7+ корень из 11)(корень из 11 минус 2 корень из 7). является целым числом.
Ответы
Ответ дал:
0
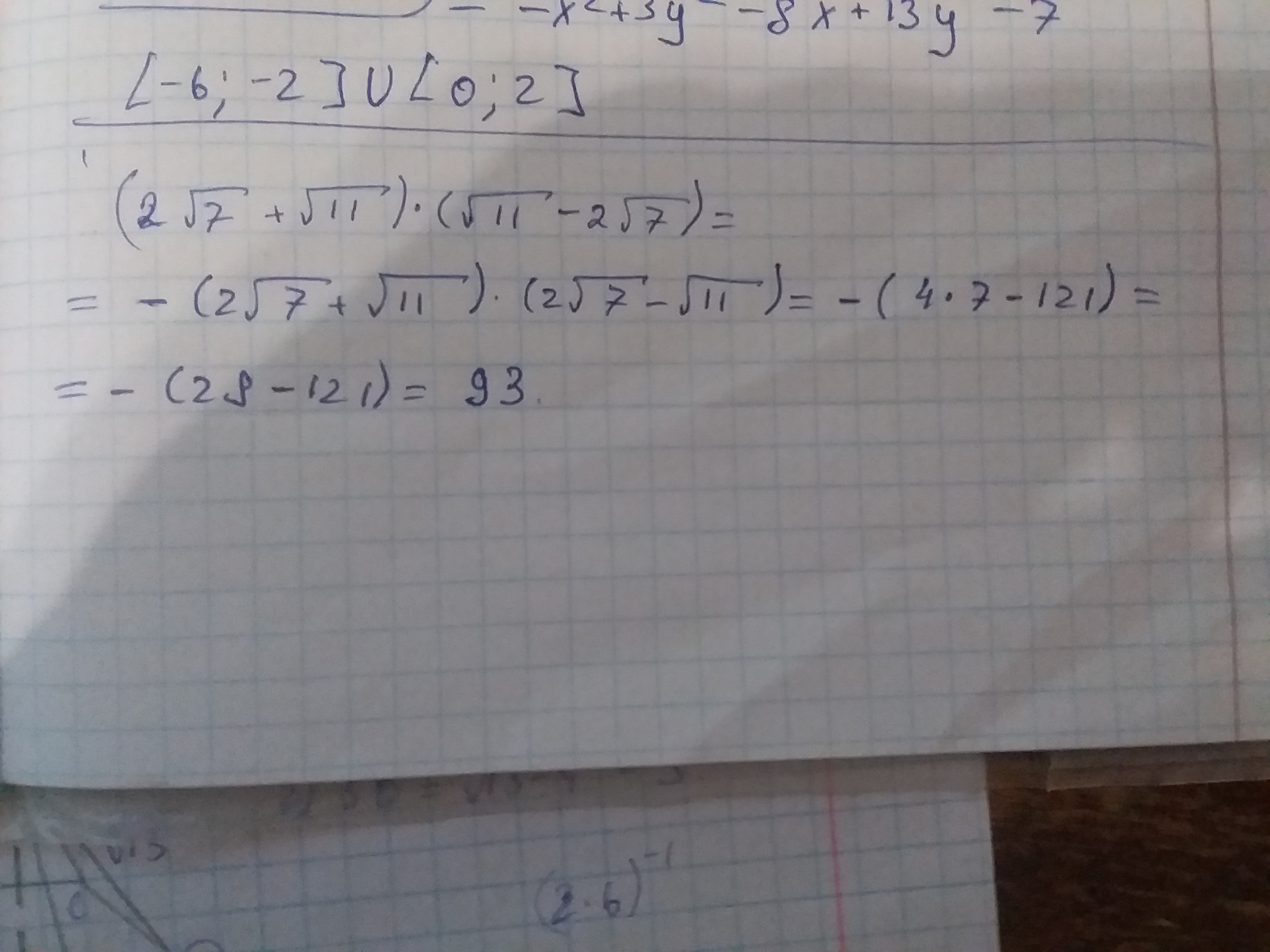
Решение посмотри на фото
Приложения:
Ответ дал:
0
это точный ответ
Ответ дал:
0
а там где 2корень или 28 -121
Вас заинтересует
2 года назад
2 года назад
3 года назад
3 года назад
9 лет назад
9 лет назад
10 лет назад
10 лет назад