• Предмет: Алгебра
  • Автор: prokaevaarina
  • Вопрос задан 8 лет назад

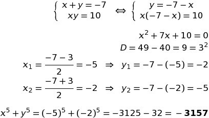
выразить x^5+y^5 если x+y=-7 xy=10

Ответы

Ответ дал: NeZeRAvix
0

Решение во вложении.

Приложения:
Вас заинтересует