• Предмет: Алгебра
  • Автор: shabsburger777
  • Вопрос задан 8 лет назад

Решите пожалуйста,желательно на тетрадном листе.

Приложения:

Ответы

Ответ дал: m11m
0

!!!!!!!!!!!!!!!!!!!!!!!

Приложения:
Ответ дал: shabsburger777
0
как откуда вы взяли,распишите пожалуйста
Ответ дал: m11m
0
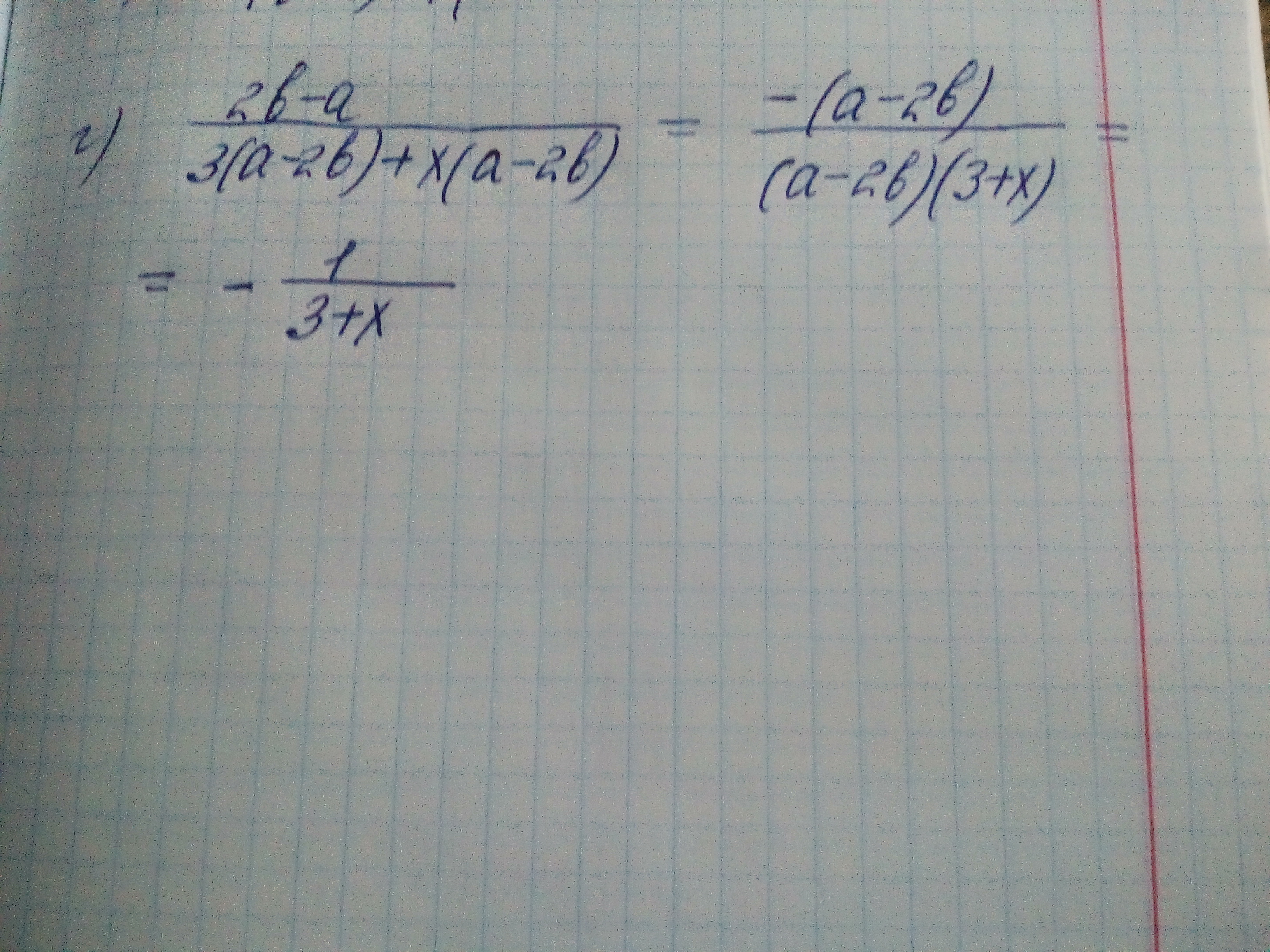
В знаменателе стоит общий множитель (а-2в). Он выносится за скобки. А затем числитель и знаменатель сокращаются на (а-2в). Более полного решения нет.
Ответ дал: shabsburger777
0
Спасибо
Ответ дал: shabsburger777
0
https://znanija.com/task/29963447 Можете еще это решить пожалуйста
Ответ дал: shabsburger777
0
Очень нужно
Вас заинтересует