• Предмет: Математика
  • Автор: ajnursafin199
  • Вопрос задан 8 лет назад

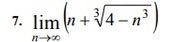
Решить предел данного вида

Приложения:

Ответы

Ответ дал: romanenk0r
0

https://www.kontrolnaya-rabota.ru/s/predel/funktsii/?function=x%2B%284-x%5E3%29%5E%281%2F3%29&X=x&x0=%2Boo#dlfunc

Вот здесь есть подробное вычисление пределов и не только онлайн бесплатно

Вас заинтересует