• Предмет: Алгебра
  • Автор: noname18764
  • Вопрос задан 8 лет назад

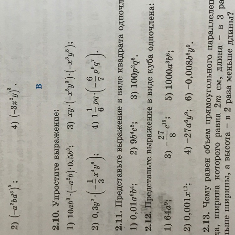
ДАЮ 30 БАЛЛОВ!Помогите решить!!!! ПОЖАЛУЙСТА!!!!
2.12 ЧЕТНЫЕ!

Приложения:

Ответы

Ответ дал: rem364
0
Привет. Мне кажется, что так. Удачи)
Приложения:
Ответ дал: noname18764
0
Спасибо!
Вас заинтересует