• Предмет: Алгебра
  • Автор: server2615
  • Вопрос задан 8 лет назад

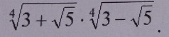
Найдите значение произведения:

Приложения:

Ответы

Ответ дал: 1sobakaNet
0
7.841102 - ответ. заранее спасибо
Ответ дал: server2615
0
А решение можно ?
Ответ дал: 1sobakaNet
0
...
Вас заинтересует