Ответы
                                            Ответ дал: 
                                                                                    
                                        
                                            
                                                
                                                
                                                
                                                    0
                                                
                                            
                                        
                                    
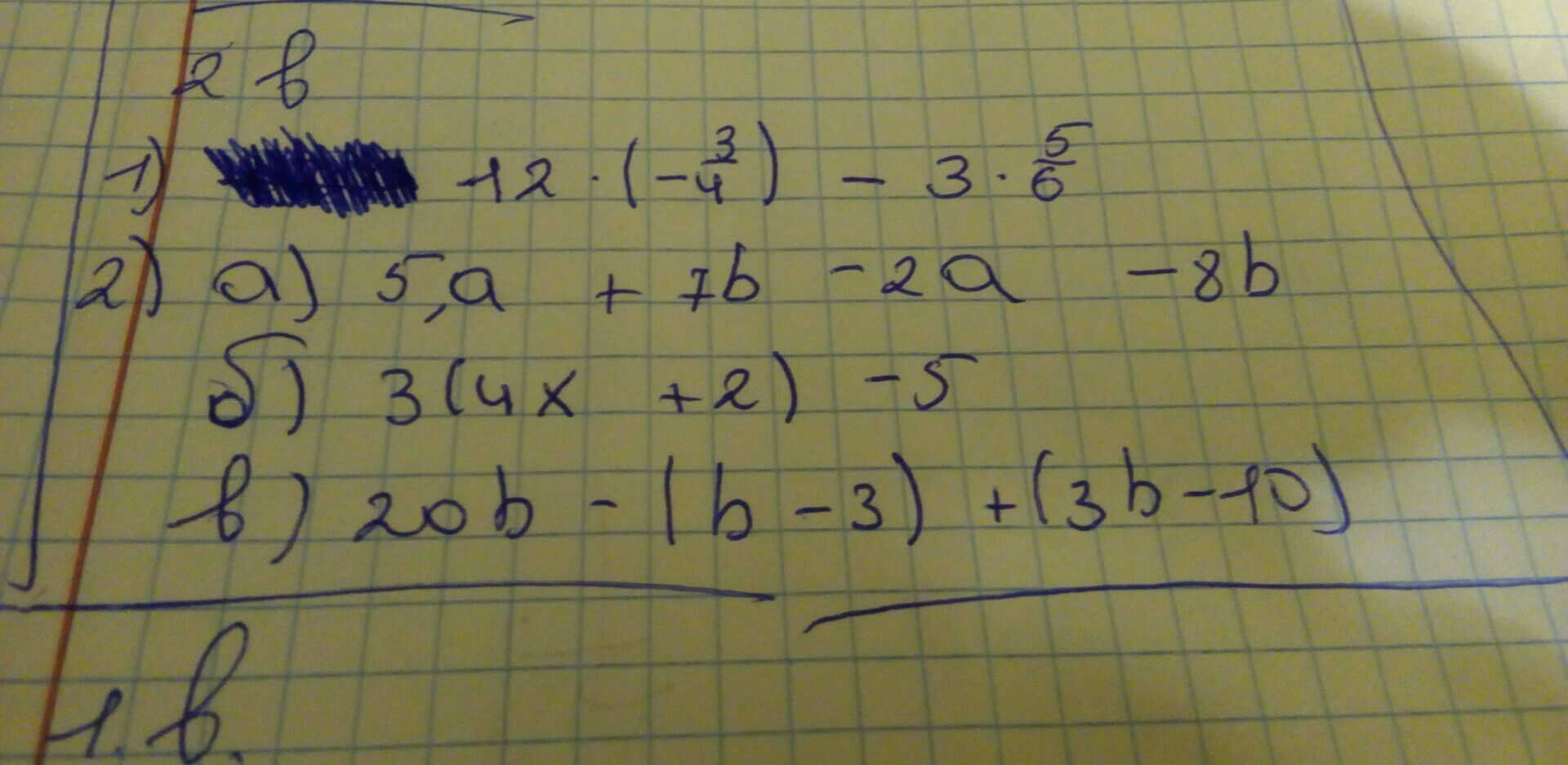
                                        2) 
a) 3a-b
b)12x+1
в)22b-7
1)


(-18-5)/2=-11,5
                                        
                                        
                                a) 3a-b
b)12x+1
в)22b-7
1)
(-18-5)/2=-11,5
                                            Ответ дал: 
                                                                                    
                                        
                                            
                                                
                                                
                                                
                                                    0
                                                
                                            
                                        
                                    12*(-3/4)-3(5/6)=-9-2,5=-11,5
a)5a+7b-2a-8b=3a-b
b) 3(4x+2) - 5= 12x+6-5=12x+1
c) 20b-(b-3)+(3b-10)=20b-b+3+3b-10=22b-7
Вас заинтересует
                
                        2 года назад
                    
                
                        3 года назад
                    
                
                        3 года назад
                    
                
                        9 лет назад
                    
                
                        9 лет назад