• Предмет: Алгебра
  • Автор: nasty542491
  • Вопрос задан 8 лет назад

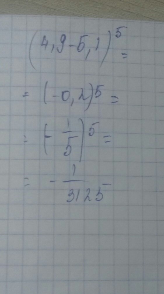
Помогите решить (4,9-5,1)в 5 степени=?

Ответы

Ответ дал: dora2686
0
вот вот вот как-то так
Приложения:
Вас заинтересует