• Предмет: Алгебра
  • Автор: saud15
  • Вопрос задан 8 лет назад

Номер 12.2 помогите пожалуйстааа

Приложения:

Ответы

Ответ дал: parus77
0

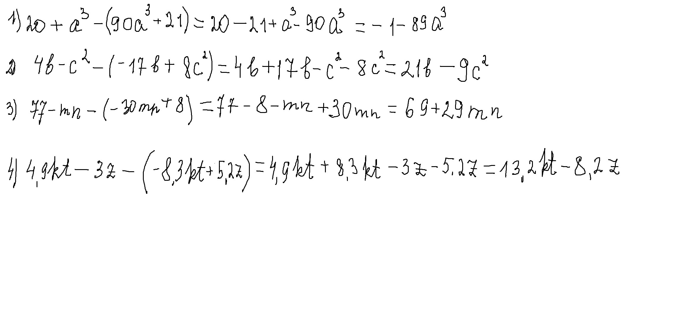
нужно записать в виде разности и раскрыть скобку,перед которой стоит знак "-"(все слагаемые,которые стоят в скобках,после раскрытия скобок ,изменят сво знак на противоположный)

Приложения:
Вас заинтересует