• Предмет: Алгебра
  • Автор: FrankyDoyle
  • Вопрос задан 8 лет назад

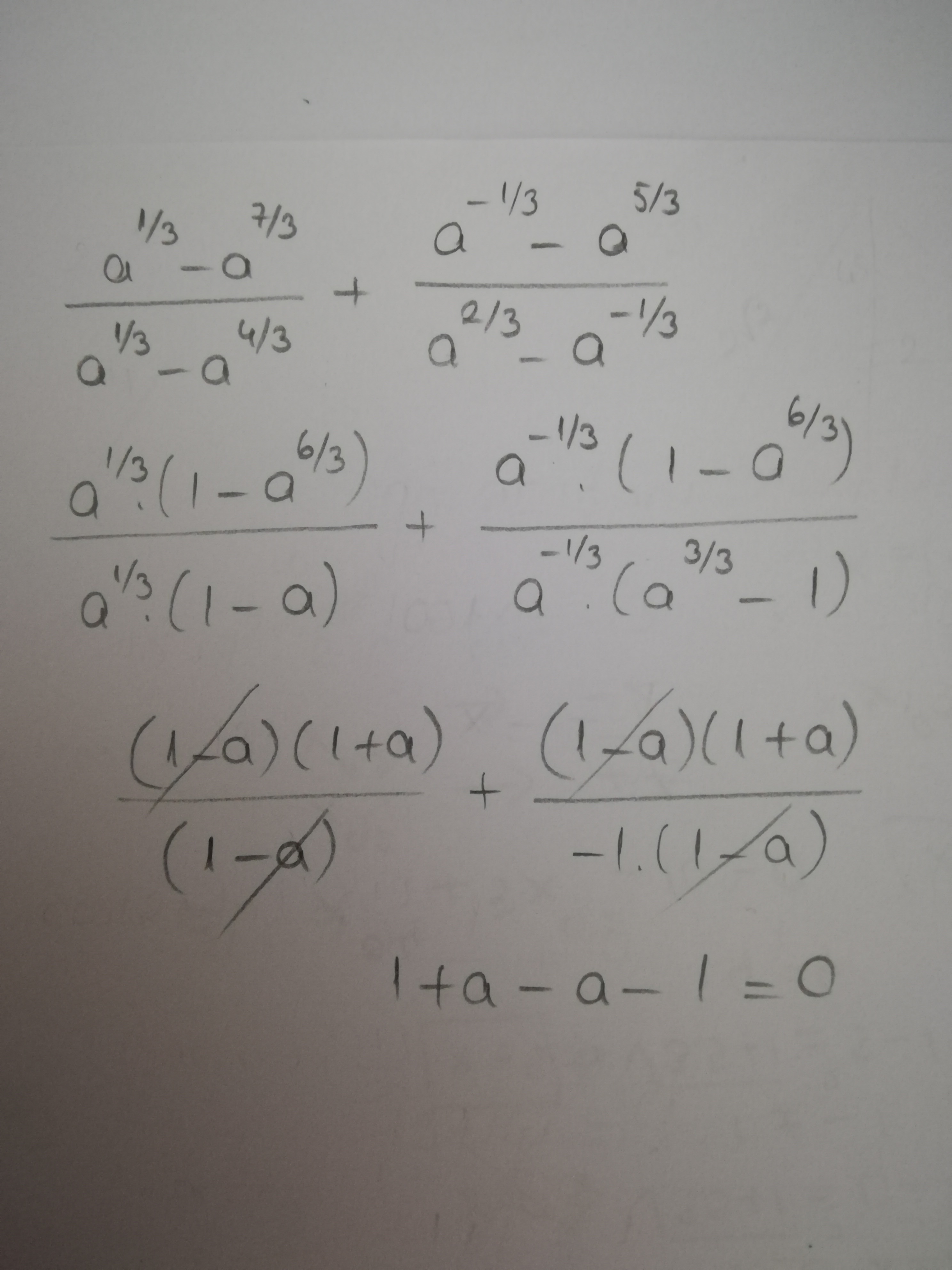
Даю 50 баллов Упростить выражение

Приложения:

Ответы

Ответ дал: Mirage86
0

I hope this helps you

Приложения:
Вас заинтересует