Ответы
Ответ дал:
0
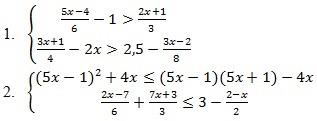
Решение на фотографиях
Приложения:


Ответ дал:
0
спасибо вам огромное!!!)))
Вас заинтересует
2 года назад
2 года назад
3 года назад
3 года назад
9 лет назад
9 лет назад
9 лет назад
9 лет назад