• Предмет: Математика
  • Автор: sonicxandtailsx
  • Вопрос задан 8 лет назад

Пожалуйста помогите с дробьями:
Сократите дробь

Приложения:

Ответы

Ответ дал: Helexfor
0

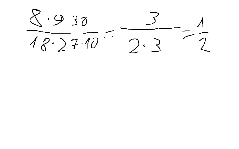
Вот решение........................................


Приложения:
Ответ дал: sonicxandtailsx
0
спасибо
Ответ дал: sonicxandtailsx
0
ты это в пеинте написал
Ответ дал: Helexfor
0
Слушай,я не много ошибся там будет 1/2.25
Ответ дал: sonicxandtailsx
0
ок
Ответ дал: Giradot
0
8×9×30 8×9×3 8 4
------------ = ----------- = ---------- = -----------
18×27×10 18×27 2×9 9
Приложения:
Вас заинтересует