• Предмет: Математика
  • Автор: serafimakaugina
  • Вопрос задан 8 лет назад

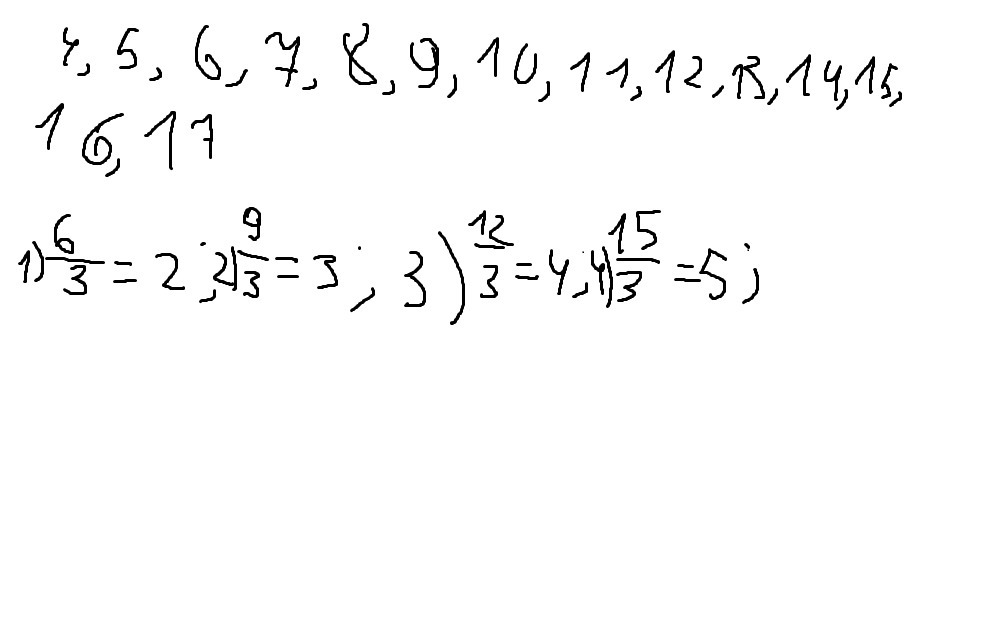
Из чисел от 4 до 17 выпиши те , которые делятся на 3 нацело. Запиши 5 случаев деления.

Ответы

Ответ дал: fanta2310
0

6 : 3 = 2

9 : 3 = 3

12 : 3 = 4

15 : 3 = 5

Ответ дал: Helexfor
0

.........................

Приложения:
Вас заинтересует