• Предмет: Алгебра
  • Автор: Аноним
  • Вопрос задан 8 лет назад

СРОЧНООО!!!УМОЛЯЮ ВАС!! ПРОШУУУУУУУУУУУУУУУУУУУУУУУУУУУУУУУУУУУУУУУУУУУУ!!!!!!!

Приложения:

Ответы

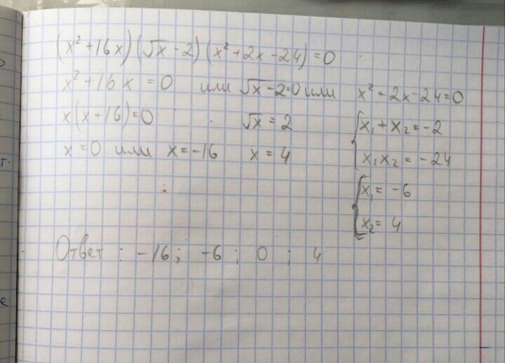
Ответ дал: muur150
0
знаю только первый пример
Приложения:
Вас заинтересует