• Предмет: Математика
  • Автор: dorime38
  • Вопрос задан 8 лет назад

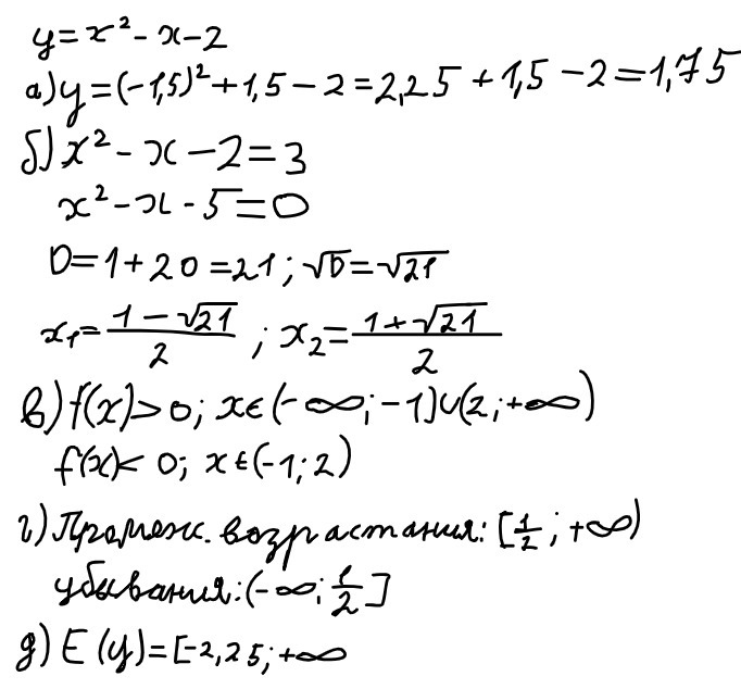
Квадратичная функция

Приложения:

Ответы

Ответ дал: MeDi0N
0

x=-frac{b}{2a} =frac{1}{2} \y=frac{1}{4} -frac{1}{2} -2=-frac{9}{4} =-2,25

(0,5; -2,25)- вершина параболы

Приложения:
Вас заинтересует