• Предмет: Геометрия
  • Автор: skarabaychik
  • Вопрос задан 8 лет назад

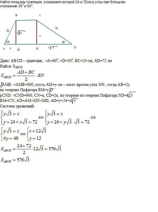
НАЙТИ ПЛОЩАДЬ ТРАПЕЦИИ, ОСНОВИ КОТОРОЙ 24 И 72 СМ, А УГЛИ ПРИБОЛЬШЕЙ ОСНОВЕ 30И 60 ГРАДУСОВ НАЙТИ ПЛОЩАДЬ ТРАПЕЦИИ

Ответы

Ответ дал: lerapretty2005
0

Решение во вложении, надеюсь помогла


Приложения:
Ответ дал: nabludatel00
0
ответ правильный! Только хочу дополнить, что есть решение(правда, оригинальное) которое намного проще по решению...
Вас заинтересует