• Предмет: Алгебра
  • Автор: djxbeovoxd
  • Вопрос задан 8 лет назад

помогите, буду благодарен

Приложения:

Ответы

Ответ дал: ruslank1460
0

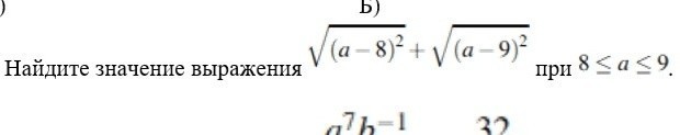
√(a-8)² + √(a-9)² = |a-8| + |a-9| = a-8+9-a = 1

Вас заинтересует