• Предмет: Алгебра
  • Автор: irishakykova
  • Вопрос задан 8 лет назад

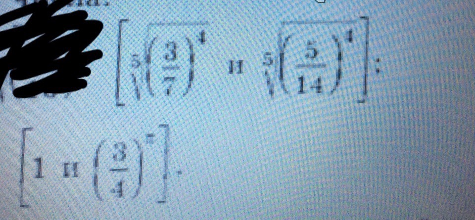
сравнить числа , запишите на листочке , пожалуйста, спасибо

Приложения:

Ответы

Ответ дал: AntVa
0

frac{3^frac{4}{5}}{7^frac{4}{5}} ? frac{5^frac{4}{5}}{14^frac{4}{5}}

frac{6^frac{4}{5}}{14^frac{4}{5}} > frac{5^frac{4}{5}}{14^frac{4}{5}}

1 > (frac{3}{4})^n т.к. 1 > 3/4 в любой степени как минимум больше 1

Ответ дал: TequilaSunrise
0
помогите, пожалуйста, если не затруднит (:
Ответ дал: TequilaSunrise
0
https://znanija.com/task/29977180
Ответ дал: AntVa
0
Мираж за что спасибо?)
Вас заинтересует