• Предмет: Алгебра
  • Автор: Зинин
  • Вопрос задан 8 лет назад

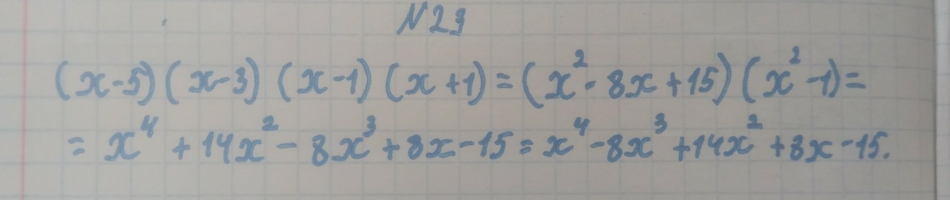
решите уравнение и запишите в ответе сумму корней уравнения (х-5)(х-3)(х-1)(х+1)
Срочно

Ответы

Ответ дал: avakyanchanel
0
Решение на фото, не забудь поставить лайк, и корону
Приложения:
Вас заинтересует