• Предмет: Алгебра
  • Автор: МаксимЭллерс
  • Вопрос задан 8 лет назад

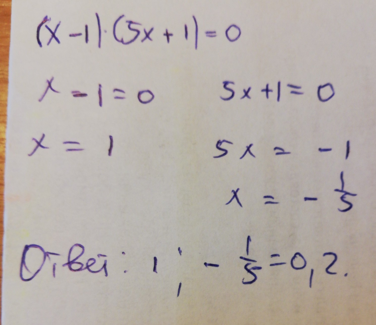
помогите пожалуйста дам 15 балов заранее спасибо за ответ

Приложения:

Ответы

Ответ дал: alex5024
0
Остальное не видно, перефоткай
Приложения:
Вас заинтересует