• Предмет: Математика
  • Автор: mfostrovp5qlvj
  • Вопрос задан 8 лет назад

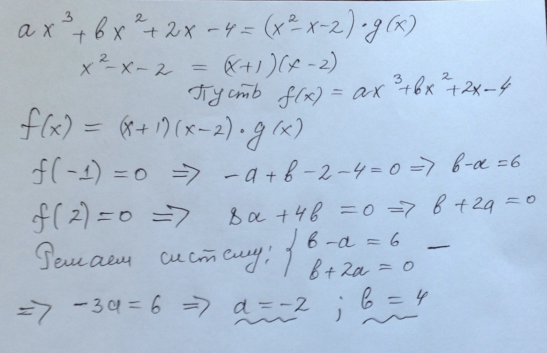
ax^3 - bx^2 +2x - 4 узнать произведение ab если это многочлен делится без остатка на x^2 - x - 2

Ответы

Ответ дал: antonovm
0

.................................................................................................

Приложения:
Вас заинтересует