• Предмет: Алгебра
  • Автор: makpalkadyl
  • Вопрос задан 8 лет назад

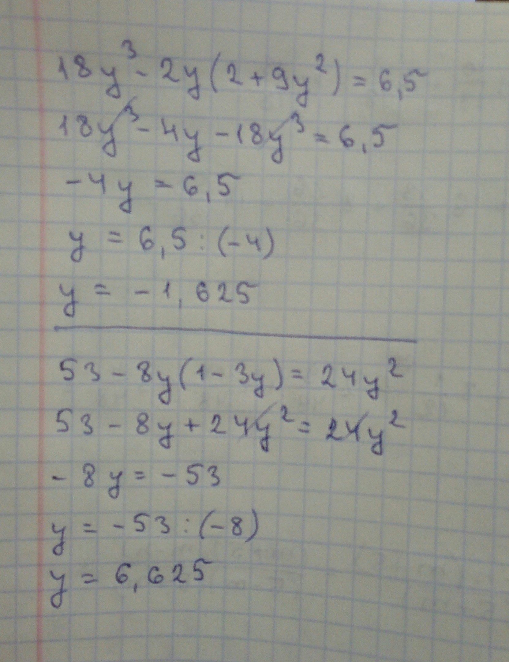
18 y в 3-2y(2+9 y в 2)=6.5
53-8y(1-3y)=24 y в 2
помогите пожалуйста там где например 2y в 2 значит два игрик в квадрате.

Ответы

Ответ дал: ЯгодкаЯлесная
0
фоточка тебе в помощь
Приложения:
Вас заинтересует