• Предмет: Математика
  • Автор: Zoo109
  • Вопрос задан 8 лет назад

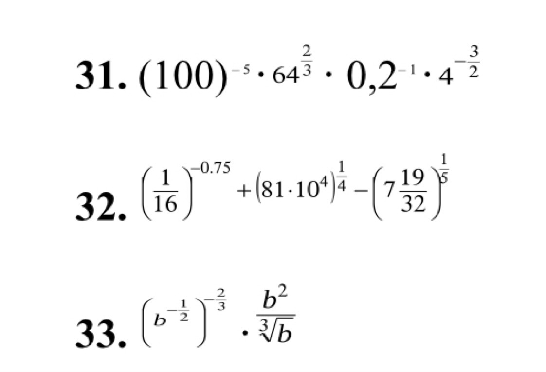
Помогите пожалуйста решить

Приложения:

Ответы

Ответ дал: 1233090
0
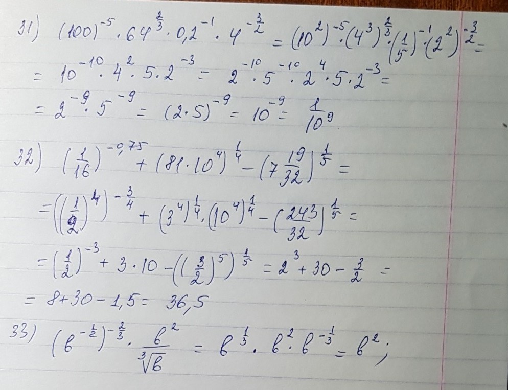
решение задания смотри на фотографии
Приложения:
Вас заинтересует