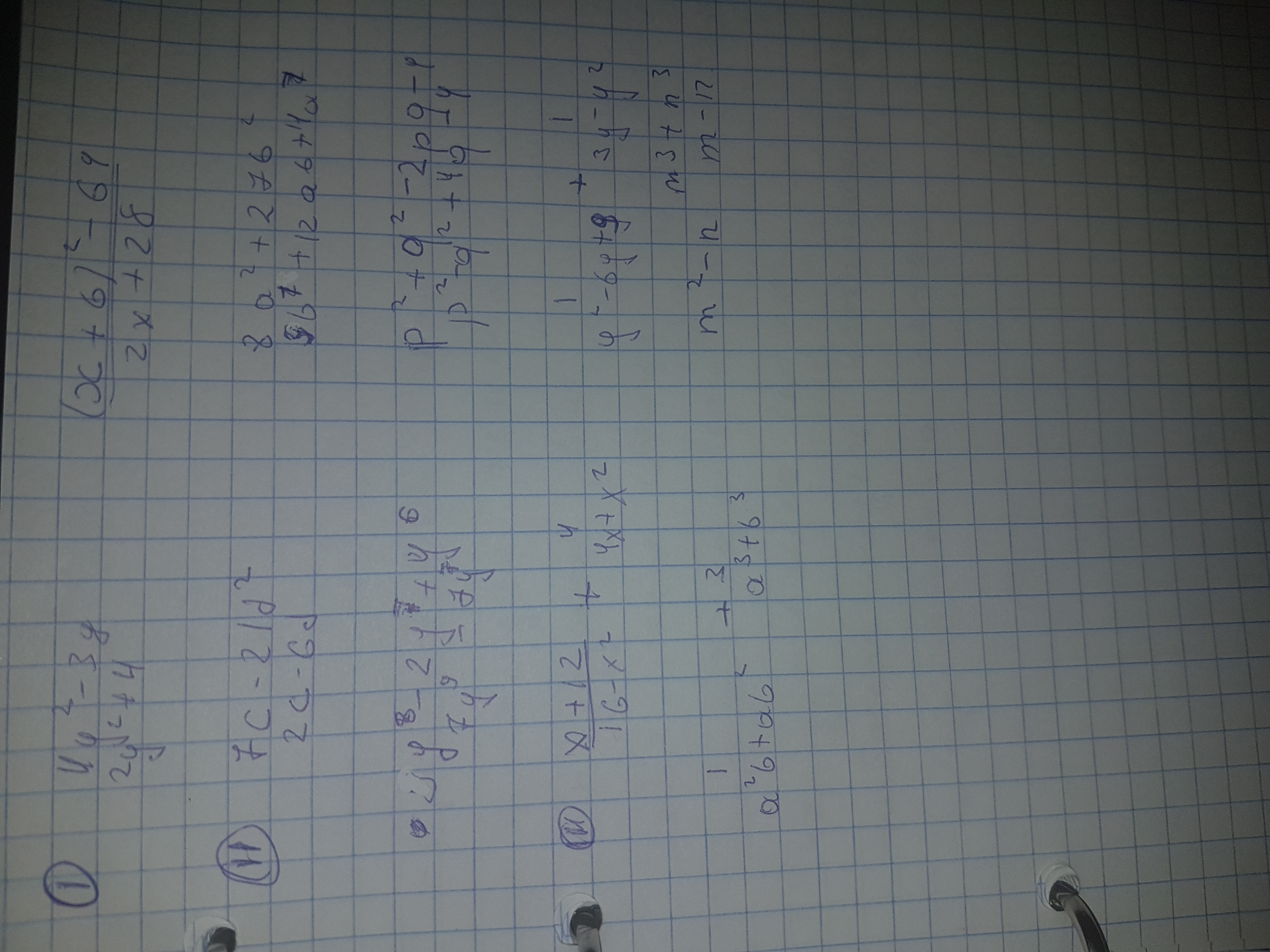
Помогите 1. при каких значениях переменной равно нулю значение дроби
2. Сократите дробь
3. Представьте в виде дроби выражение
Если что то не понятно спрашивайте
Пожалуйста помогите
Приложения:
Ответы
Ответ дал:
0
так,что надо решить сперва?все надо решить или конкретно одну?
1.4у^2-3^у=у(4у-3)
у=0
у=3/4
2.2у^2+4=2(у^2+2)
у=+- корень 2
вот так примерно
1.4у^2-3^у=у(4у-3)
у=0
у=3/4
2.2у^2+4=2(у^2+2)
у=+- корень 2
вот так примерно
Вас заинтересует
2 года назад
3 года назад
9 лет назад
9 лет назад
10 лет назад