Ответы
Ответ дал:
0
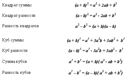
Вот. Все двенадцать формул сокращённого умножения.
Приложения:

Ответ дал:
0
Ой, то есть их всего семь. Сорри...
Ответ дал:
0
Просто я не знаю больше...
Вас заинтересует
2 года назад
3 года назад
9 лет назад
9 лет назад