• Предмет: Химия
  • Автор: Masha0215
  • Вопрос задан 8 лет назад

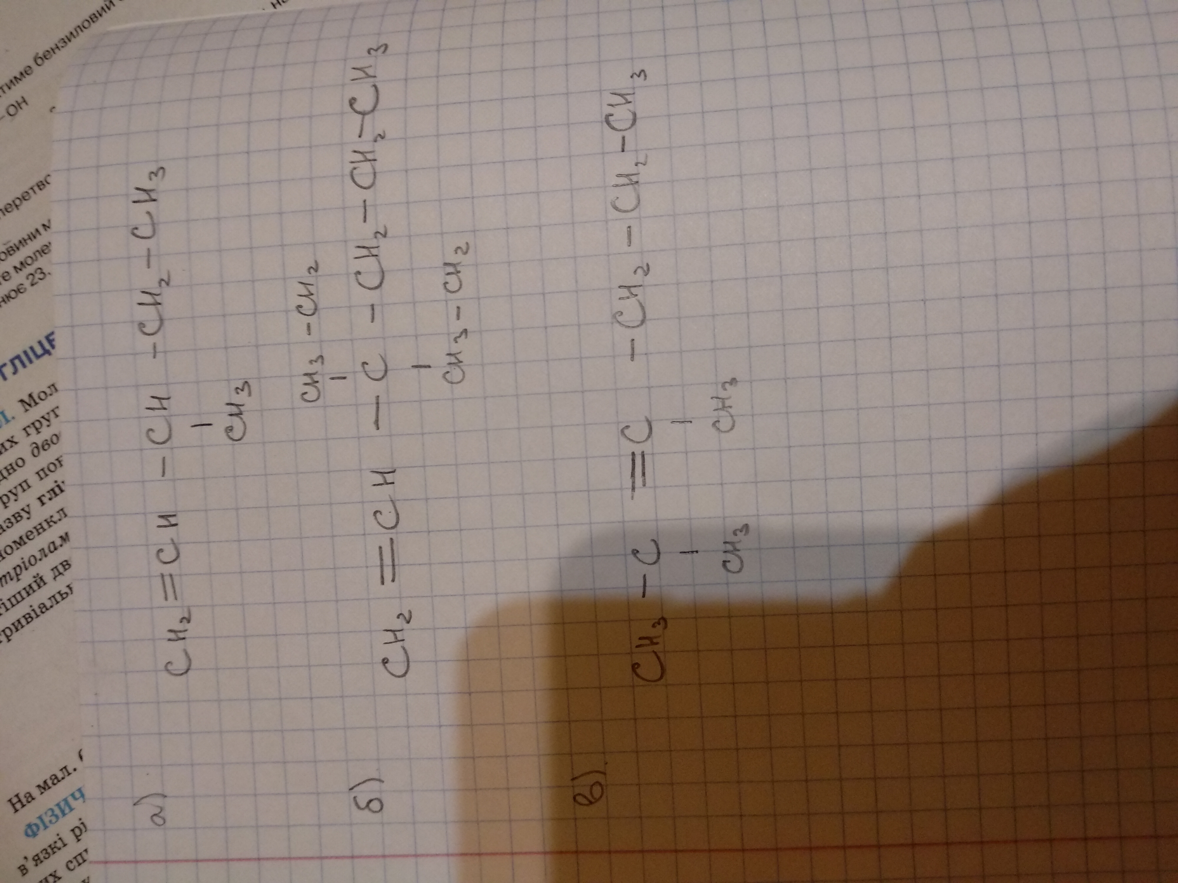
Складіть структурні формули молекул:
а) 3-метилпент-1-ену;
б) 3,3-діетилгекс-1-ену;
в) 2,3-диметилгекс-2-ену.

Ответы

Ответ дал: KoKoBom
0

Держи. CH3-CH2 - это C2H5(то бишь, твой этил)

Приложения:
Вас заинтересует