• Предмет: Химия
  • Автор: dfadfasdfa
  • Вопрос задан 8 лет назад

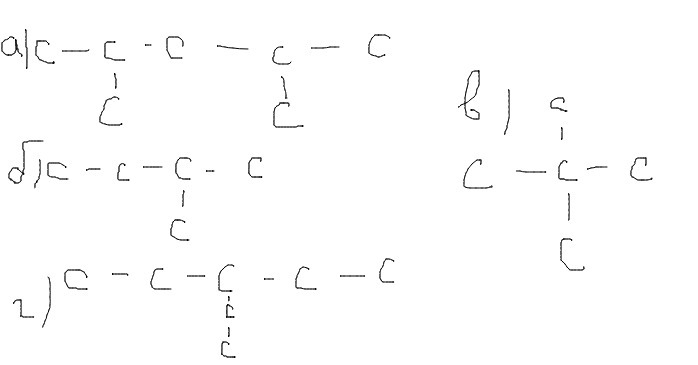
нужно назвать  помогите пожалуйста

Приложения:

Ответы

Ответ дал: Trofimkirillov
0

а)гепт

б)пент

в)гепт

г)пент

Вас заинтересует