• Предмет: Математика
  • Автор: timooshhkaaa
  • Вопрос задан 8 лет назад

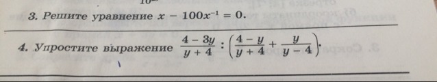
4 номер , решить по действиям

Приложения:

Ответы

Ответ дал: salta2680
0
..............................
Приложения:
Вас заинтересует