• Предмет: Математика
  • Автор: o2142582
  • Вопрос задан 8 лет назад

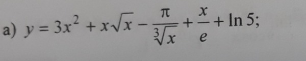
Найти производную функции.

Приложения:

Ответы

Ответ дал: армения20171
0
y'=6x+3/2*x^(1/2)-π*(-1/3)*x^(-4/3)+1/e

=6x+3√x/2+π/3*(1/x^(4/3))+1/e
Вас заинтересует