отдаю последние баллы,пожалуйста сделайте,сегодня последний день сдачи,буду очень благодарна!!!
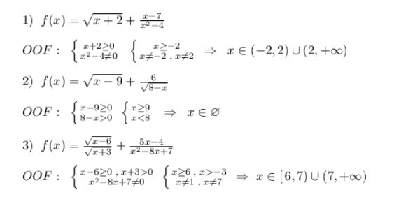
Приложения:

Ответы
Ответ дал:
0
.........................................................................................................................
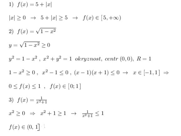
Приложения:


Ответ дал:
0
спасибо огромное!!!
Вас заинтересует
2 года назад
2 года назад
3 года назад
3 года назад
9 лет назад
9 лет назад
9 лет назад