• Предмет: Алгебра
  • Автор: sveta17855
  • Вопрос задан 8 лет назад

ОООЧЕНЬ СРОЧНО!!!
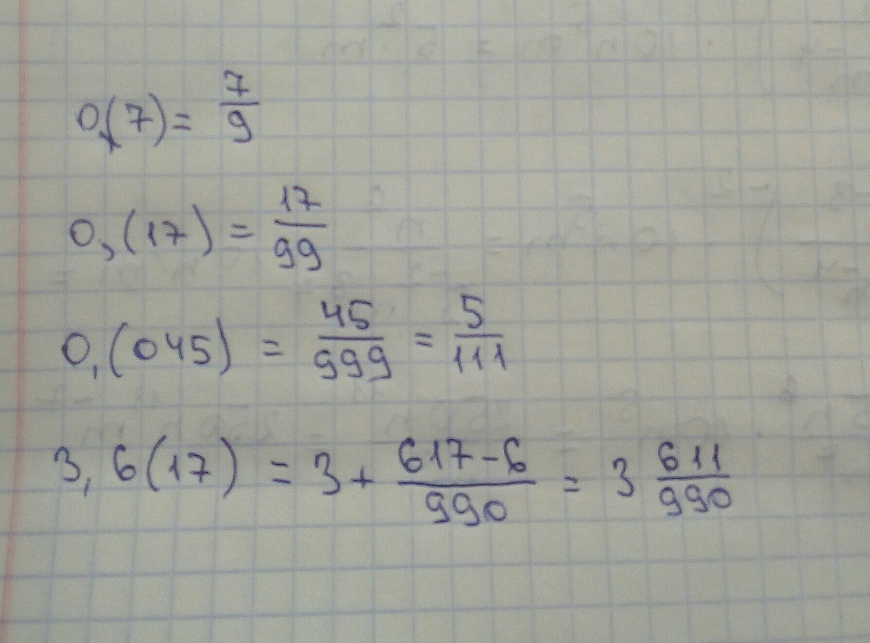
ПРЕДСТАВЬТЕ В ВИДЕ ОБЫЧНОЙ ДРОБИ
0,(7) 0,(17) 0,(045) 3,6(17)

Ответы

Ответ дал: ЯгодкаЯлесная
0
фоточка тебе в помощь
Приложения:
Вас заинтересует