• Предмет: Алгебра
  • Автор: Тане4ка99
  • Вопрос задан 11 лет назад

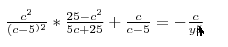
"докажите тождество с2(с-5)(дробь)*25-с25с+25(дробь)+сс-5(дробь)=-с5(дробь)"

Ответы

Ответ дал: Ученик19998
0
точнее так,решите пжл
Приложения:
Вас заинтересует