• Предмет: Алгебра
  • Автор: happydi40
  • Вопрос задан 8 лет назад

решите..Алгебра 8 класс

Приложения:

Ответы

Ответ дал: danilzemnitski
0

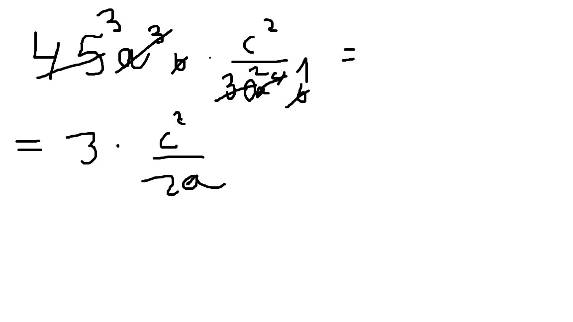
получиться должно=3*с^2(2a)

Приложения:
Вас заинтересует