• Предмет: Математика
  • Автор: Alexander20021970
  • Вопрос задан 8 лет назад

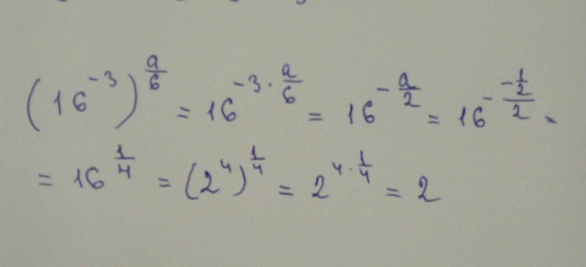
(16^-3)^а/6. Если а= -1/2

Ответы

Ответ дал: ЯгодкаЯлесная
0
фоточка тебе в помощь
Приложения:
Вас заинтересует