• Предмет: Математика
  • Автор: dhdjdjd34owow
  • Вопрос задан 8 лет назад

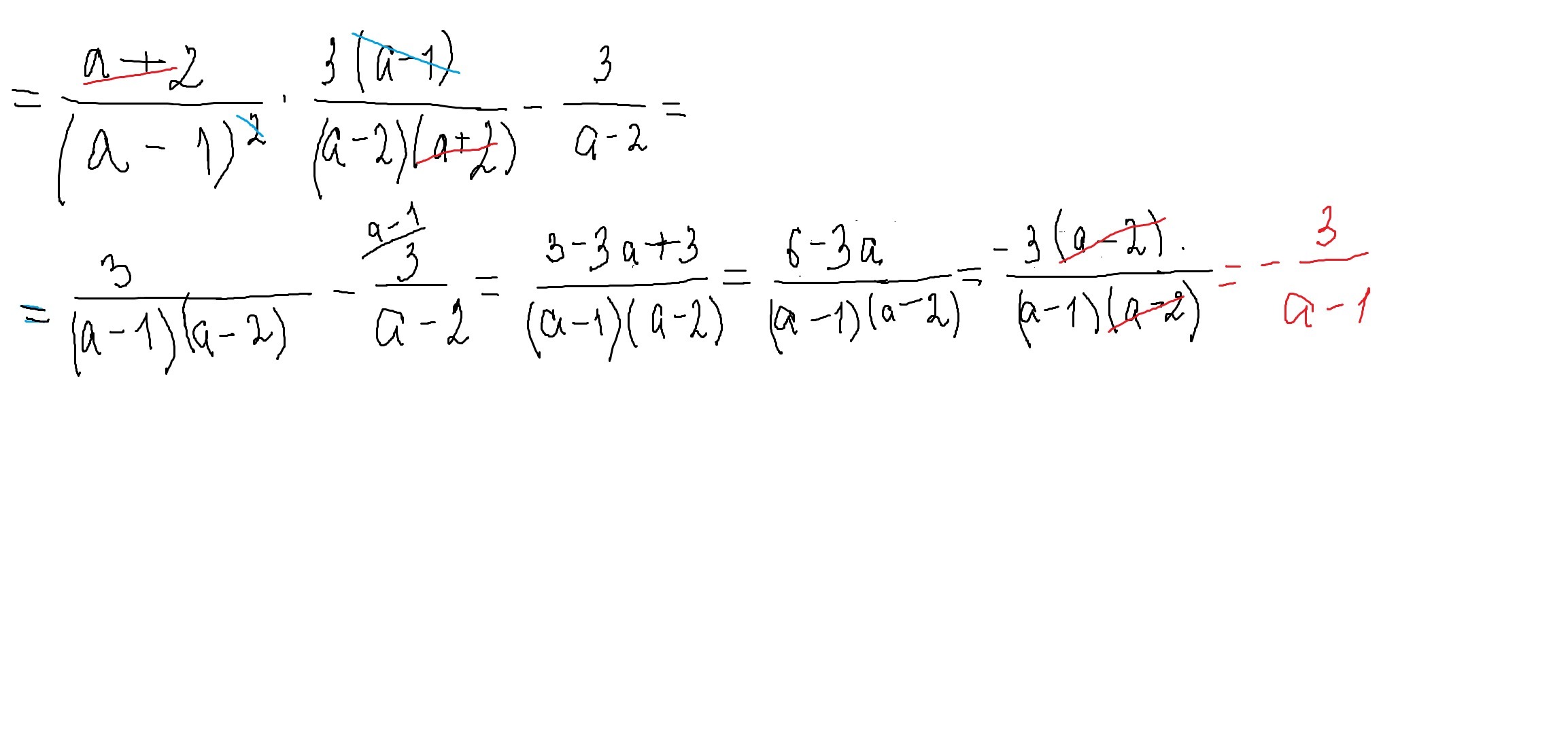
Решите с объяснением.

Приложения:

Ответы

Ответ дал: parus77
0

применяем формулы (а-в)²=а²-2ав+в²     и   а²-в²=(а-в)(а+в)

Приложения:
Вас заинтересует