пж
Решите уравнение
(х + 2)2 - 1 = х + 3
Выберите один ответ:
a. (0;3)
b. -3; 0
c. (-3;0); (0;-3)
d. -3; -1
Ответы
Ответ дал:
0
Что-то типа этого......
Приложения:

Ответ дал:
0
jlby jndtn bp ghtlkj;tyys[
Ответ дал:
0
один ответ из предложеных
Ответ дал:
0
хз
Ответ дал:
0
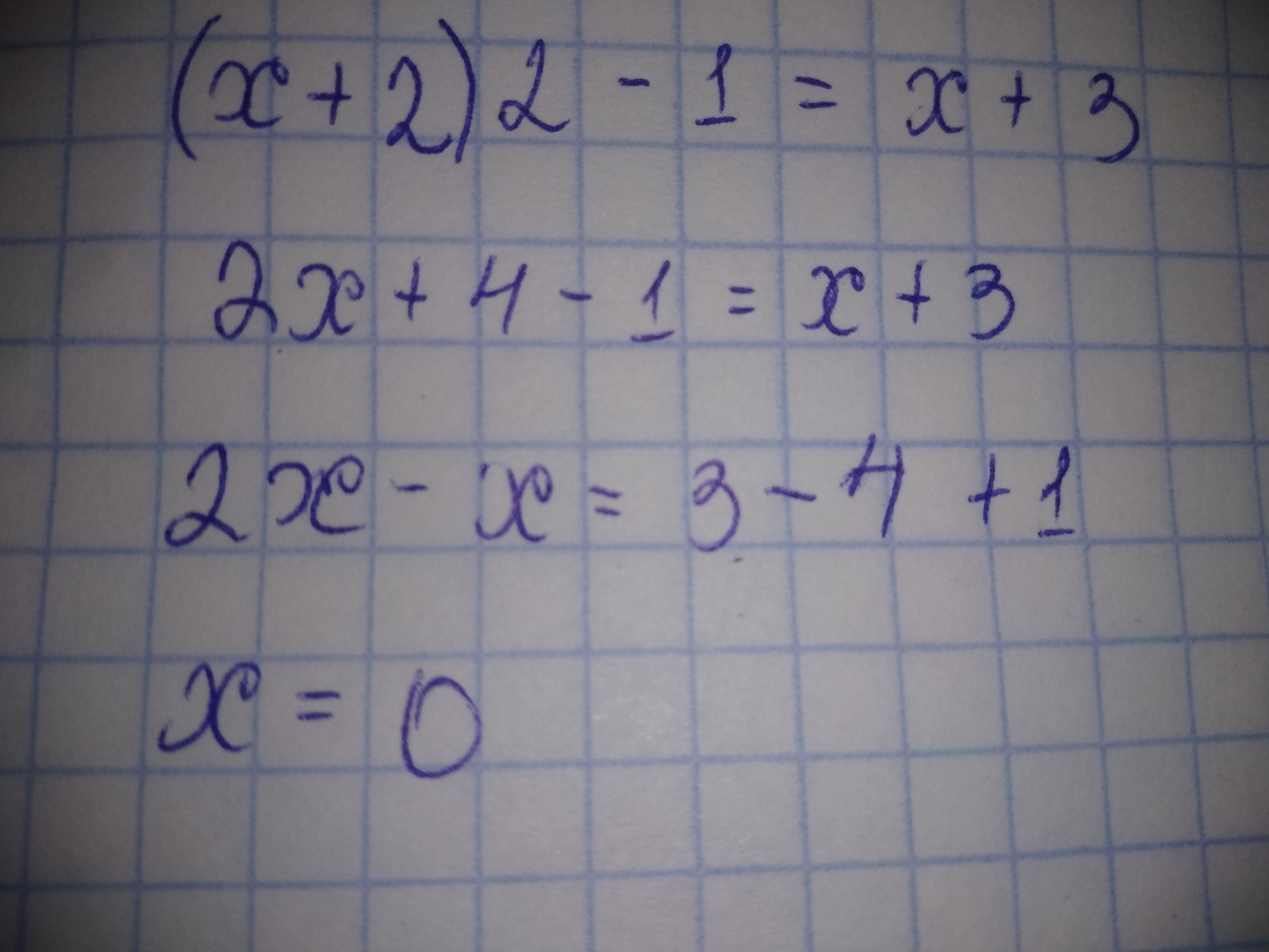
(х + 2)2 - 1 = х + 3
2х+4-1=х+3
2х+3=х+3
2х=х
2х-х=0
х=0
Ответ:а)
2х+4-1=х+3
2х+3=х+3
2х=х
2х-х=0
х=0
Ответ:а)
Приложения:

Вас заинтересует
2 года назад
3 года назад
3 года назад
9 лет назад
9 лет назад