• Предмет: Алгебра
  • Автор: AnyaDirectioner
  • Вопрос задан 11 лет назад

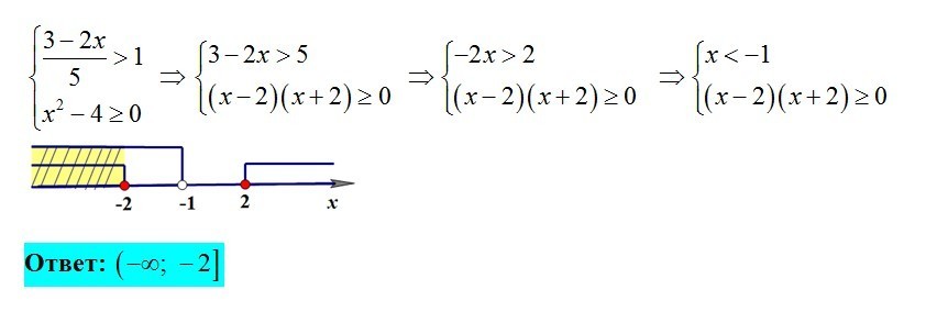
решите систему неравенств 3-2x / 5>1     
x^2-4> или равно 0

Ответы

Ответ дал: justcall
0
Решение во вложении.
Приложения:
Вас заинтересует