• Предмет: Алгебра
  • Автор: rinagoon2003
  • Вопрос задан 8 лет назад

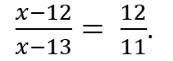
Решите уравнение пожалуйста

Приложения:

Ответы

Ответ дал: ntnsbrv
0

x не равен 13

(x-12)11=12(x-13)

а дальше выражаешь

Ответ дал: WaaliliBrains
0
(х-12) • 11 = (х-13) • 12

11х-132=12х-156
11х-12х=132-156
-1х=-24
х =24
Вас заинтересует