Ответы
Ответ дал:
0
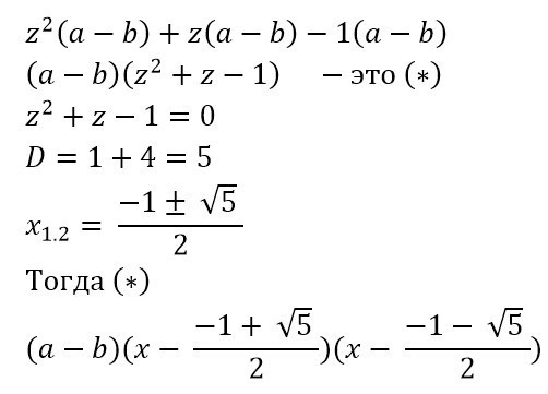
Добрый день! Решение см. фото. (№3)
** Где звёздочка скорее всего лучше остановиться, так как нам не сказано, что (z^2 +z -1) = 0
№1
Ответ: С
** Если там у Х^5, качество фото не позволяется детально рассмотреть.
№2
P - это сумма всех сторон многоугольника
См. фото 2
Приложения:


Ответ дал:
0
Это 3?
Ответ дал:
0
или 2
Ответ дал:
0
3. Вам необходимо сделать все три?
Ответ дал:
0
да, желательно (
Ответ дал:
0
1. В)
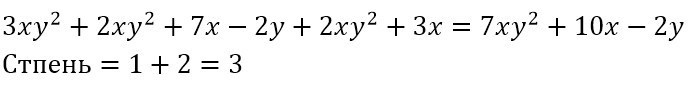
2. 3xy у 2 степени + 2xv у 2 степени + 3x + 2xv у 2 степени+7x-2y =7xy у 2 степени + 10x - 2y
3. a * z у 2 степеня - b * z у 2 степеня - b * z + a * z - a + b
2. 3xy у 2 степени + 2xv у 2 степени + 3x + 2xv у 2 степени+7x-2y =7xy у 2 степени + 10x - 2y
3. a * z у 2 степеня - b * z у 2 степеня - b * z + a * z - a + b
Приложения:


Вас заинтересует
2 года назад
3 года назад
9 лет назад
9 лет назад
9 лет назад