• Предмет: Математика
  • Автор: 7No7Name7
  • Вопрос задан 8 лет назад

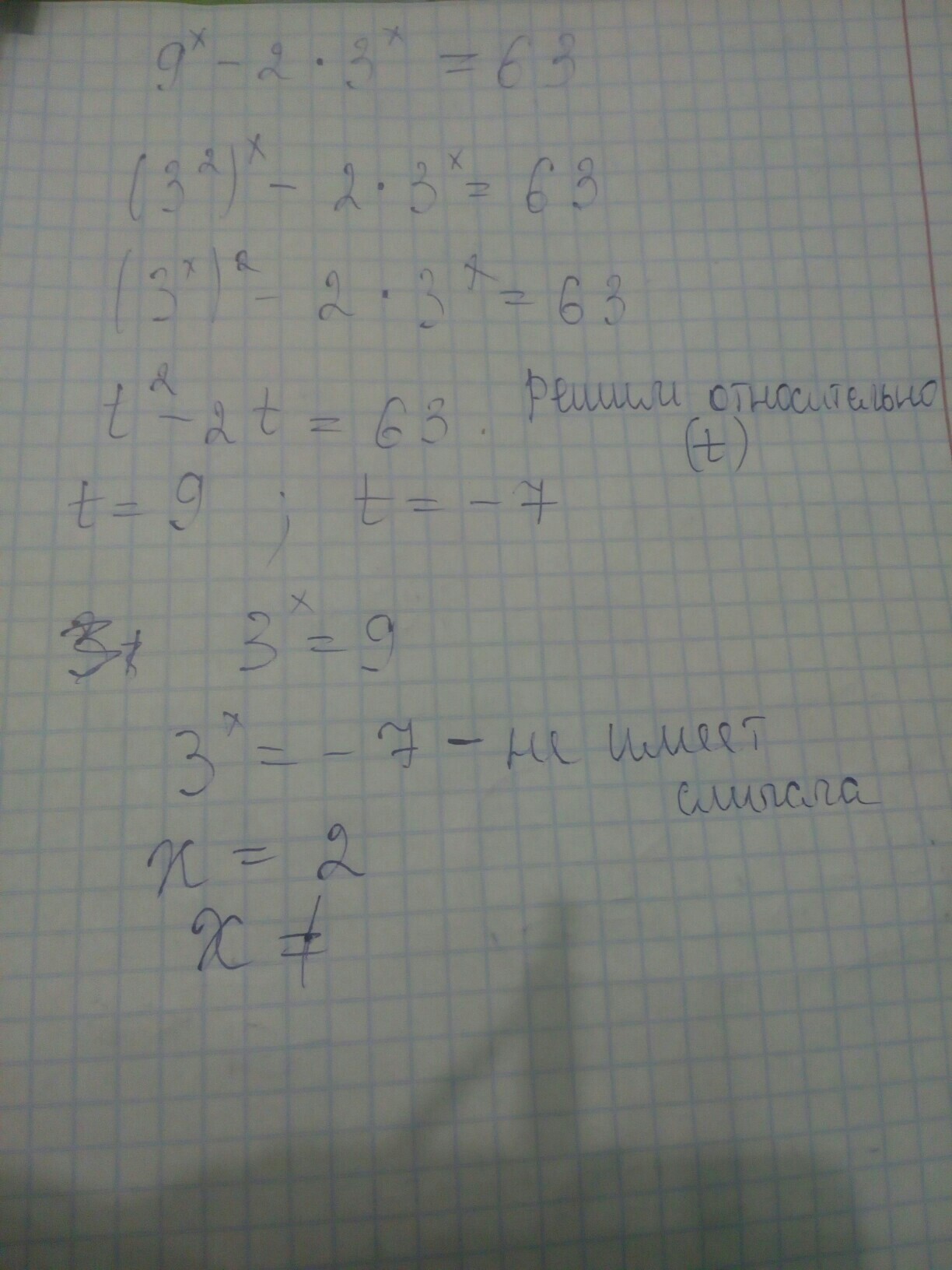
9^x -2*3^x=63 немогу решить помогите

Ответы

Ответ дал: Cleanert
0
вроде так. если не так, напиши, я перерешаю))
Приложения:
Ответ дал: 7No7Name7
0
спасибо большое
Ответ дал: Cleanert
0
непонятно если, то напиши
Вас заинтересует