• Предмет: Математика
  • Автор: vkook63
  • Вопрос задан 8 лет назад

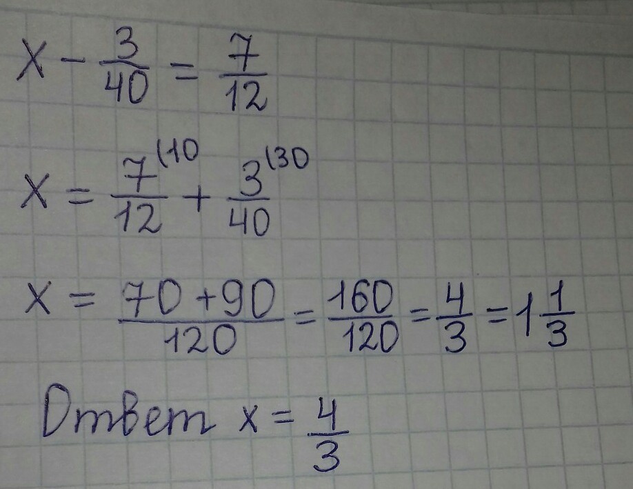
Решите уравнение:
x -  frac{3}{40}  =  frac{7}{12}

Ответы

Ответ дал: Pharaoh30
0
Решение смотри на фото
Приложения:
Ответ дал: Altynai150904
0

VKook вот решение задания

Приложения:
Ответ дал: joom53
0
что за приложение?
Ответ дал: Altynai150904
0
Photomath
Вас заинтересует