• Предмет: Математика
  • Автор: doggiedas
  • Вопрос задан 8 лет назад

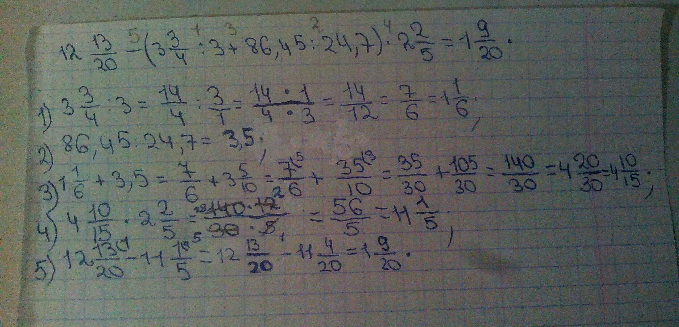
12 13/20-(3 3/4 : 3 + 86,45 : 24,7)*2 2/5
(Решите пожалуйста по действиям )

Ответы

Ответ дал: tatsach
0

3 3/4:3=15/4*1/3=5/4=1,25

86,45:24,7=3,5

1,25+3,5=4,75

4,75*2 2/5=4,75*2,4=11,4

12 13/20-11,4= 12,65-11,4=1,25

Ответ дал: ChocolateBunny
0
Надеюсь ты поймёшь мой почерк...
Приложения:
Вас заинтересует