• Предмет: Алгебра
  • Автор: dyatlovevgengik
  • Вопрос задан 8 лет назад

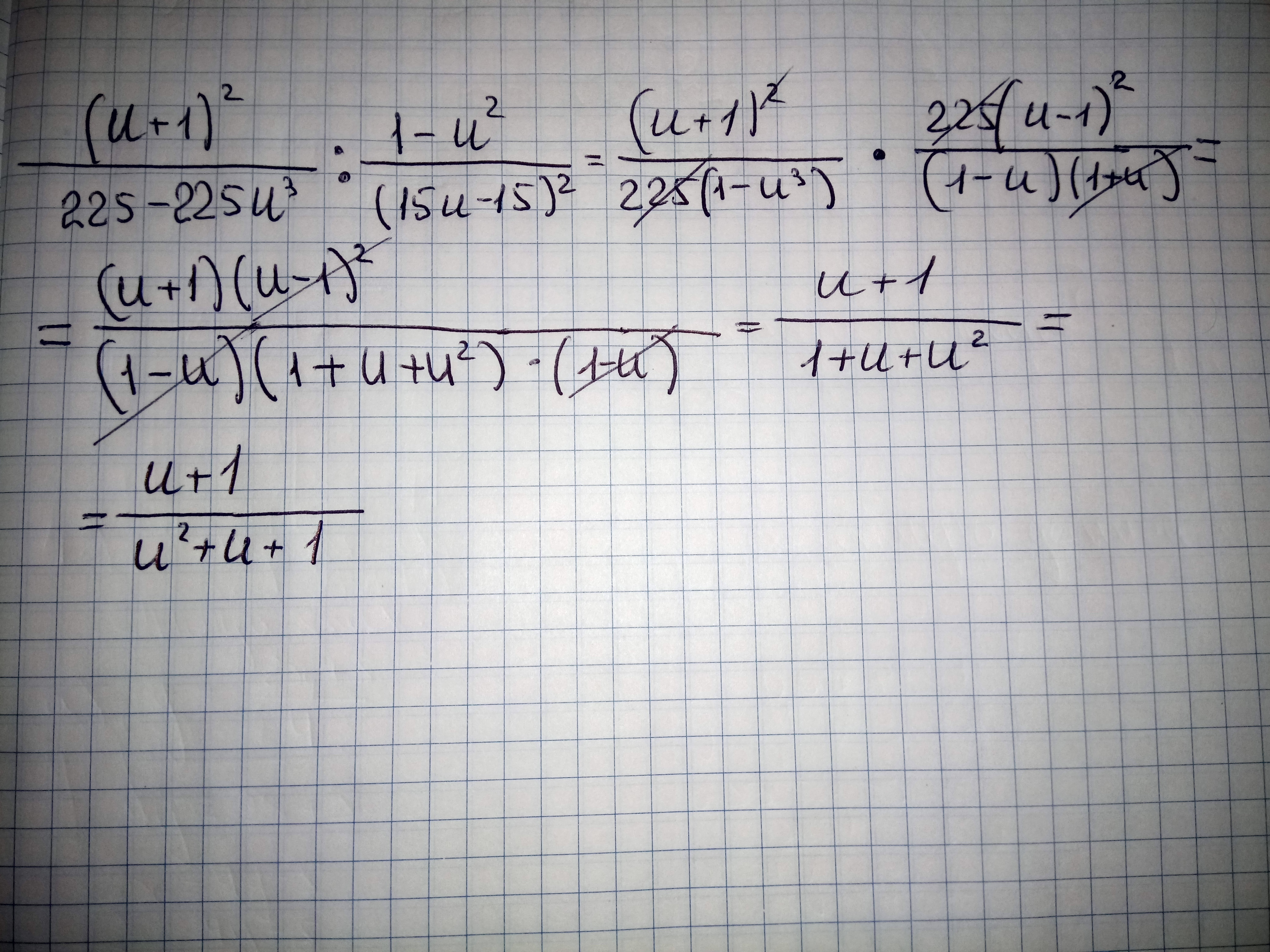
Деление дробей,помогите разобраться

Приложения:

Ответы

Ответ дал: valenivan
0

Решение задания приложено

Приложения:
Вас заинтересует