• Предмет: Алгебра
  • Автор: Reshallka
  • Вопрос задан 8 лет назад

Даю 100 баллов за решение двух уравнений

Приложения:

Ответы

Ответ дал: maksimcat
0

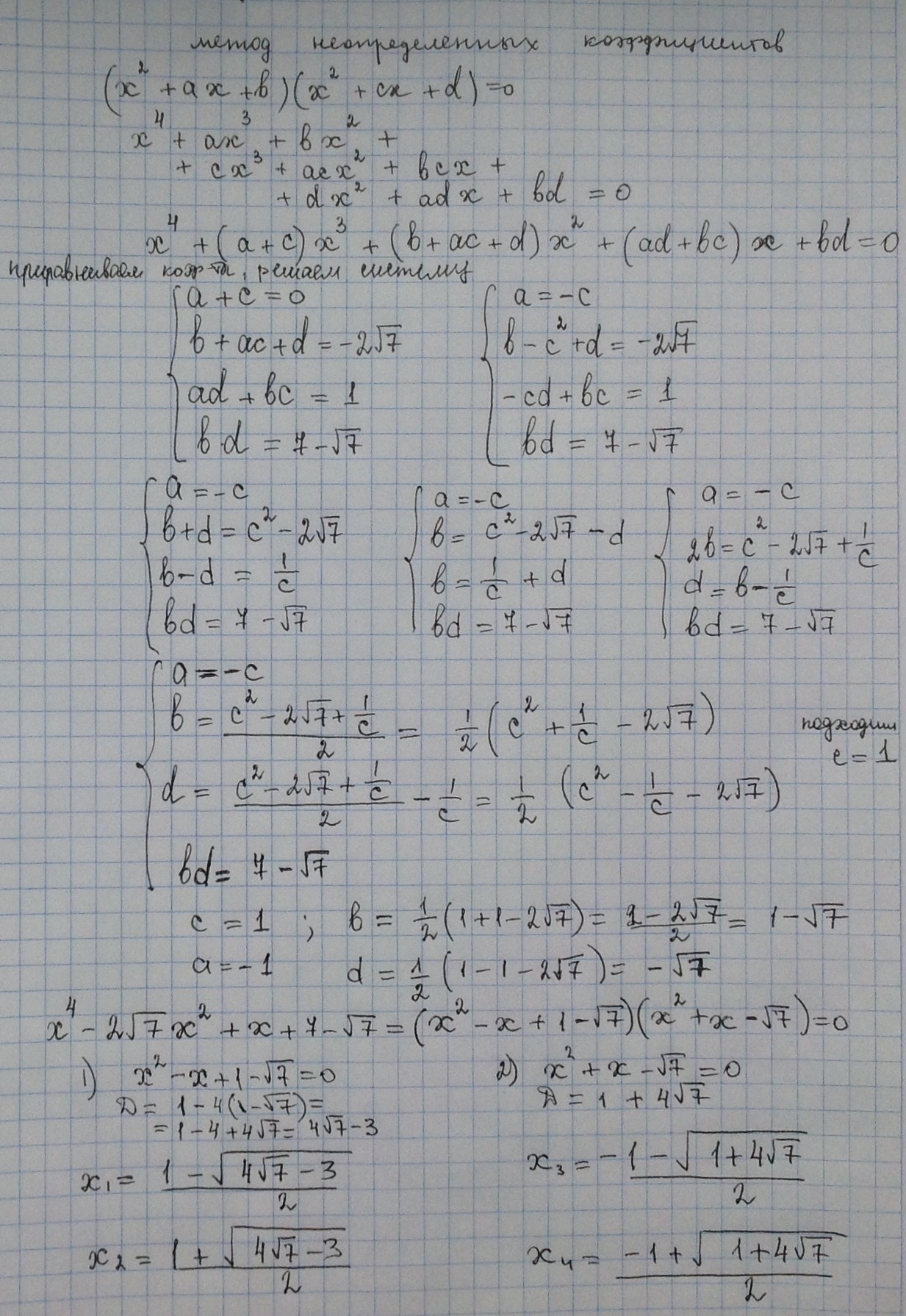
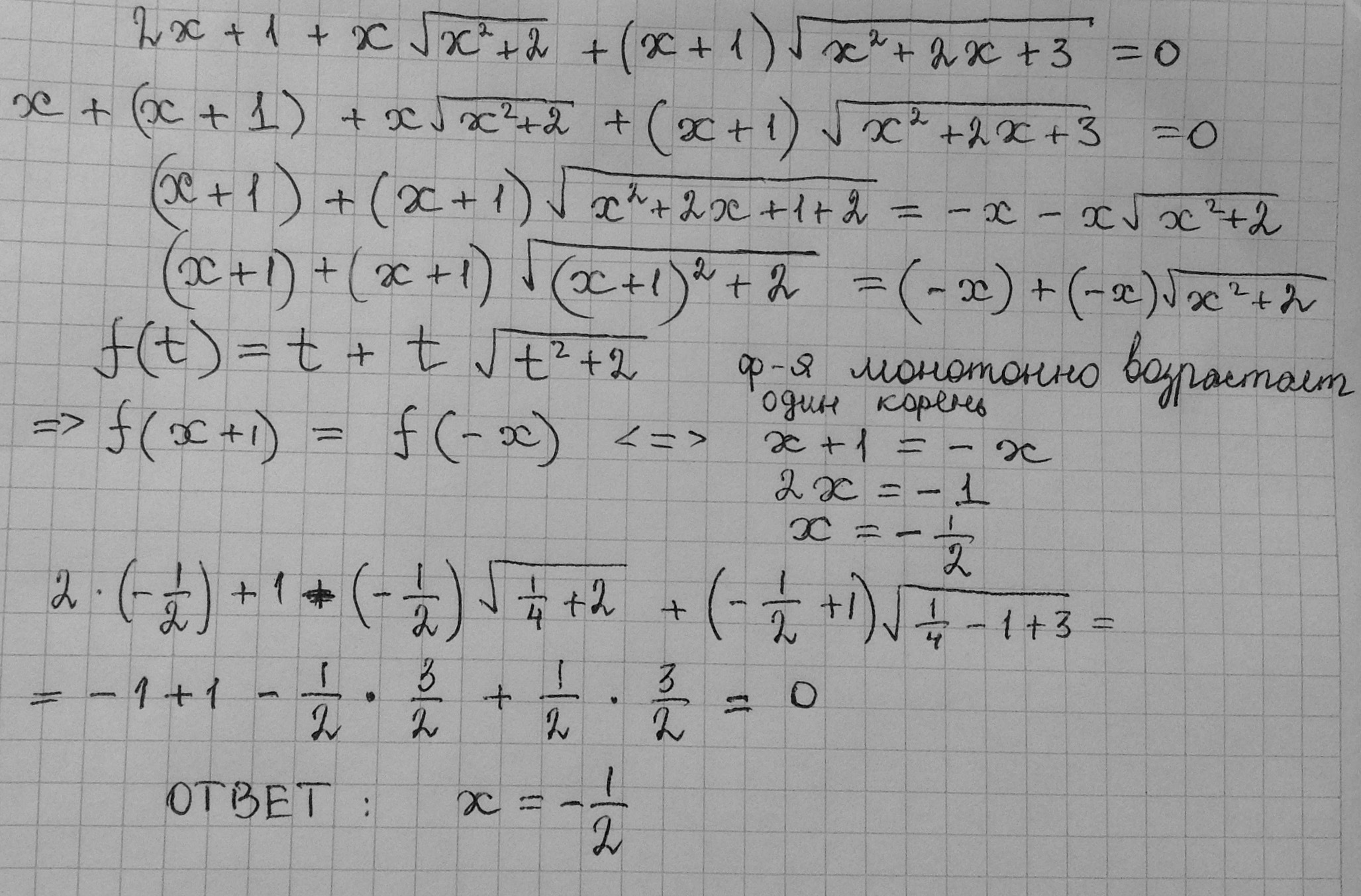
Ответ на фото ///////////////////

Приложения:
Ответ дал: maksimcat
0
Хотите попробовать решить? Могу вопрос создать
Ответ дал: Simba2017
0
хочу решение попроще, но пока его не знаю(
Ответ дал: Simba2017
0
вернее знаю-но оно не легче...
Ответ дал: Simba2017
0
но спасибо в любом случае вам за решение...
Ответ дал: maksimcat
0
Ок, и Вам спасибо
Вас заинтересует