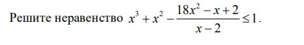
• Предмет: Алгебра
  • Автор: Oven05
  • Вопрос задан 8 лет назад

СРОЧНО НУЖНО! ПОЖАЛУЙСТА, ПОМОГИТЕ!

Приложения:

Ответы

Ответ дал: m11m
0

!!!!!!!!!!!!!!!!!!!!!!!!

Приложения:
Ответ дал: Oven05
0
Спасибо!
Вас заинтересует