• Предмет: Математика
  • Автор: aygh1963
  • Вопрос задан 8 лет назад

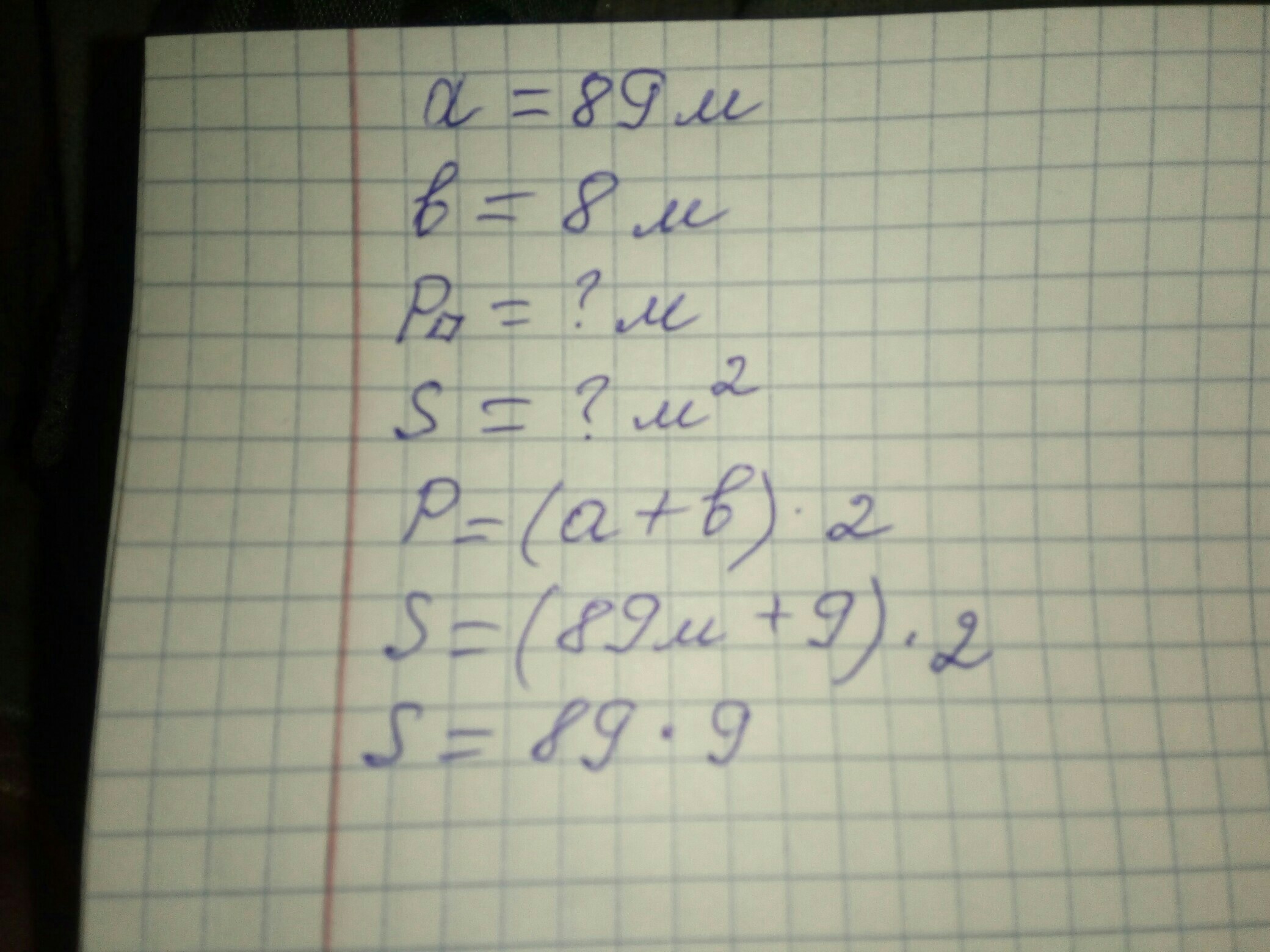
ребята помогите с пириметром

Приложения:

Ответы

Ответ дал: ElSamael
0
Периметр 89+8=97
97*2=194
Ответ дал: ElSamael
0
89*8=712 площадь
Ответ дал: poly4ivanova
0

Р=(89+8)*2=194м

S=89*8=712м²

Вас заинтересует