• Предмет: Алгебра
  • Автор: mardamschin2000
  • Вопрос задан 8 лет назад

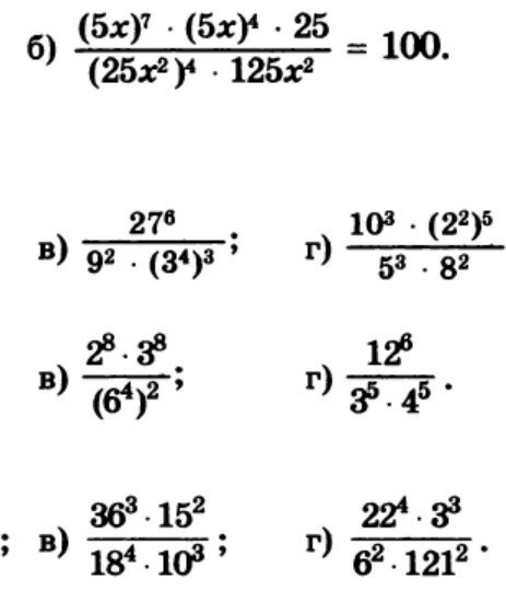
Алгебра 7 класс 45 баллов

Приложения:

Ответы

Ответ дал: bbtte
0

ocyyfocoyoxyoxyyoxoyxyoyxyodyoxyootxxyoxtoo

Приложения:
Вас заинтересует