• Предмет: Алгебра
  • Автор: damirocirovp8bpoa
  • Вопрос задан 8 лет назад

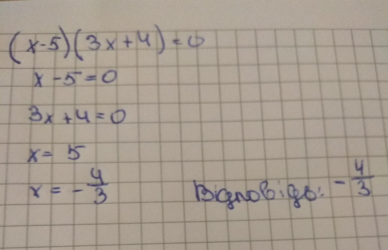
(x-5)(3x+4)=0 сколько получится

Ответы

Ответ дал: а1л1и1н1а12
0
удачи %)))))))))))))))
Приложения:
Вас заинтересует