Ответы
Ответ дал:
0
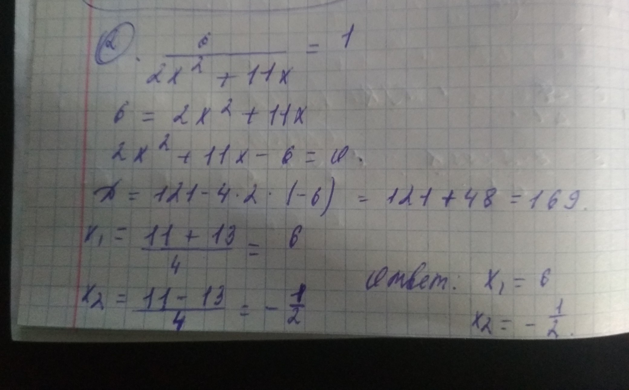
ответ : х = 6;
х = -1/2.
удачи.
х = -1/2.
удачи.
Приложения:

Ответ дал:
0
Решение на фото ответ 0,5 и 6
Приложения:

Вас заинтересует
2 года назад
2 года назад
3 года назад
9 лет назад
9 лет назад
9 лет назад