• Предмет: Математика
  • Автор: Аноним
  • Вопрос задан 8 лет назад

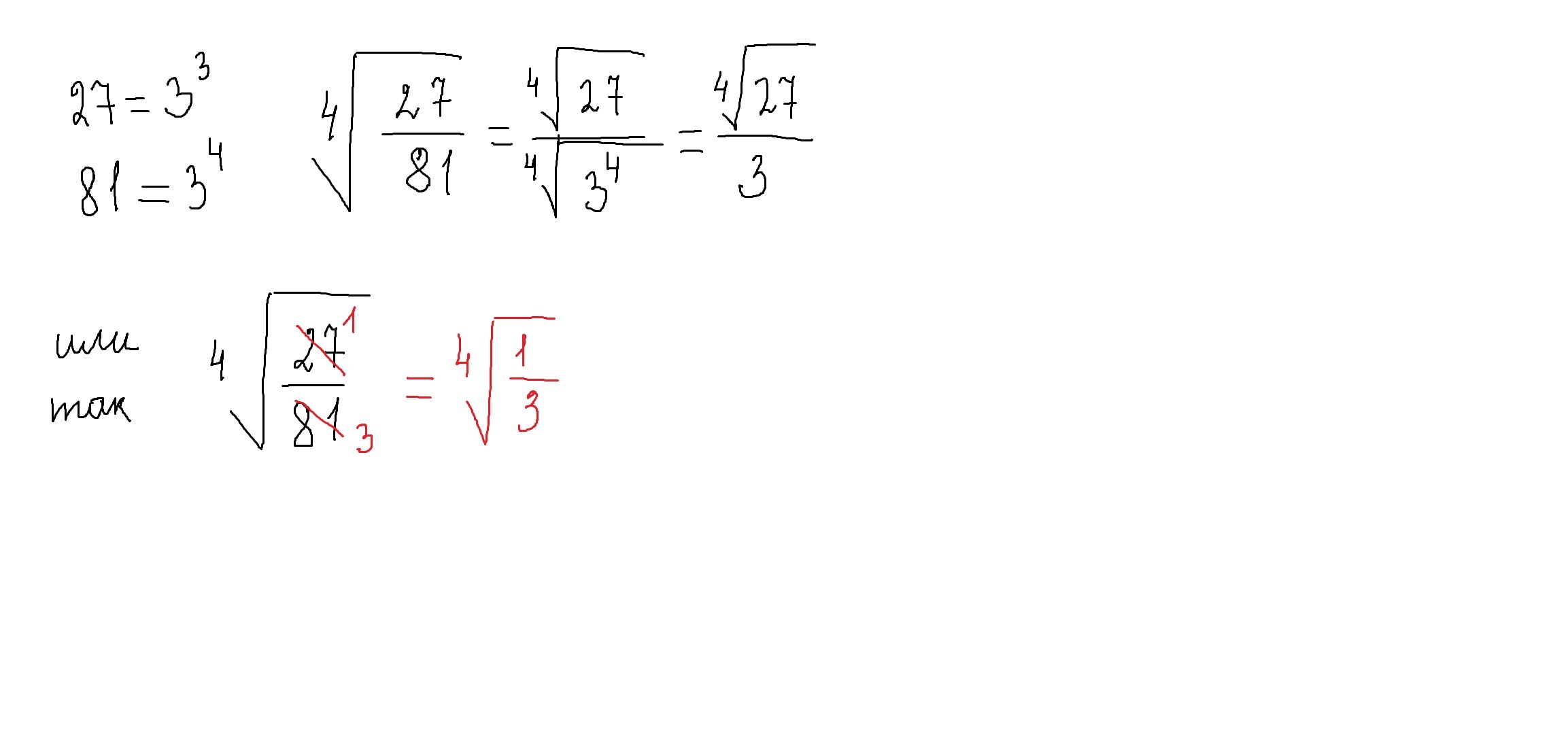
ПОМОГИТЕ ВЫЧИСЛИТЬ КОРЕНЬ ЗАДАНИЕ НА ФОТО

Приложения:

Ответы

Ответ дал: parus77
0

смотри решение внизу,не знаю какое подойдет.Корень ⁴√27  не извлекается,поэтому так:

Приложения:
Ответ дал: Аноним
0
ПОМОГИТЕ ТУТ https://znanija.com/task/30074973
Вас заинтересует